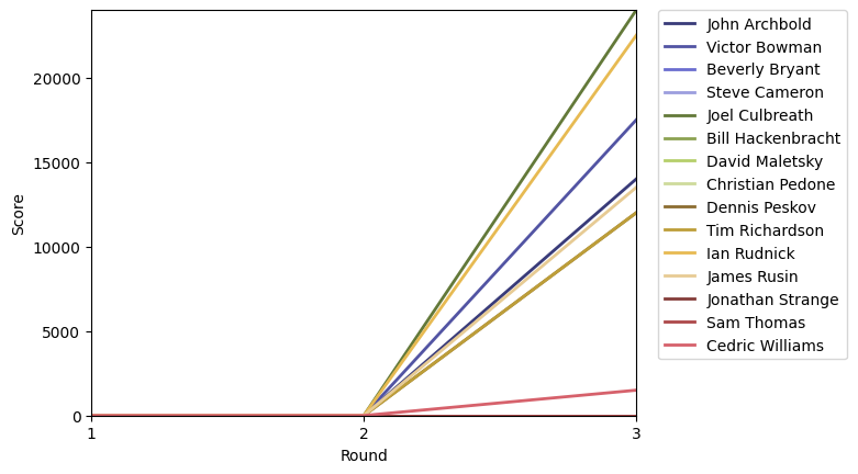
Liberty Cup 2022 Score Graph

Graph of player scores against round